SOLUTION: x-2/2-x+2/4=1/2 lcd=4 could you explain to me how to figure this out then check? thank you!

Algebra ->  Expressions-with-variables -> SOLUTION: x-2/2-x+2/4=1/2 lcd=4 could you explain to me how to figure this out then check? thank you!      Log On


   



Question 86649This question is from textbook algebra structure and method
: x-2/2-x+2/4=1/2
lcd=4 could you explain to me how to figure this out then check?
thank you!
This question is from textbook algebra structure and method

Answer by ptaylor(2198) About Me  (Show Source):
You can put this solution on YOUR website!
%28x-2%29%2F2-%28x%2B2%29%2F4=1%2F2 I am assuming that this is your problem
Now, we find the lcd and multiply each term by the lcd to get rid of the fractions
To find the lcd, we determine the smallest whole number that both 2 and 4 will divide into and we can see that 4 is the number. There are several approaches that can be used to find the lcd. On approach is to list the multiples of each denominator and the lcd will be the smallest number that appears in both. For example, lets find the lcd for 5 and 7:
Multiples of 5:
1*5=5
2*5=10
3*5=15
4*5=20
5*5=25
6*5=30
7*5=35------------------bingo

Multiples of 7:
1*7=7
2*7=14
3*7=21
4*7=28
5*7=35------------------bingo
So, the lcd for 5 and 7 is 35

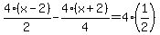
Next we multiply each term by 4
4%28x-2%29%2F2-4%28x%2B2%29%2F4=4%281%2F2%29 simplify
2%28x-2%29-%28x%2B2%29=2 get rid of parens
2x-4-x-2=2 collect like terms
x-6=2 add 6 to both sides
x-6%2B6=2%2B6 collect like terms again
x=8
CK

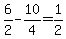
%288-2%29%2F2-%288%2B2%29%2F4=1%2F2
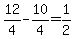
6%2F2-10%2F4=1%2F2
12%2F4-10%2F4=1%2F2
2%2F4=1%2F2
1%2F2=1%2F2



Hope this helps---ptaylor