SOLUTION: Can you please help me with this math problem? x^2-5x-4 / 4x^2-4 -------- --------

Algebra ->  Expressions-with-variables -> SOLUTION: Can you please help me with this math problem? x^2-5x-4 / 4x^2-4 -------- --------       Log On


   



Question 865423: Can you please help me with this math problem? x^2-5x-4 / 4x^2-4
-------- --------
x^2-1 4x^2-8x+4
Thank you very much for your time.

Answer by jim_thompson5910(35256) About Me  (Show Source):
You can put this solution on YOUR website!
%28%28x%5E2-5x-4%29%2F%28x%5E2-1%29%29%2F%28%284x%5E2-4%29%2F%284x%5E2-8x%2B4%29%29 Start with the given expression.


%28%28x%5E2-5x-4%29%2F%28x%5E2-1%29%29%2A%28%284x%5E2-8x%2B4%29%2F%284x%5E2-4%29%29 Multiply the first fraction by the reciprocal of the second.


Factor x%5E2-1


Factor 4x%5E2-8x%2B4


Factor 4x%5E2-4


Highlight a set of common terms (one term in the numerator, an equal term in the denominator)


Cancel that pair of common terms


Remove those cancellations.


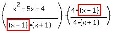
Highlight another set of common terms


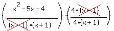
Cancel that pair of common terms


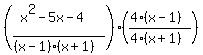
%28%28x%5E2-5x-4%29%2F%28x%2B1%29%29%2A%284%2F%284%28x%2B1%29%29%29 Remove those cancellations.


Highlight another set of common terms


%28%28x%5E2-5x-4%29%2F%28x%2B1%29%29%2A%28cross%284%29%2F%28cross%284%29%28x%2B1%29%29%29 Cancel that pair of common terms


%28%28x%5E2-5x-4%29%2F%28x%2B1%29%29%2A%281%2F%28x%2B1%29%29 Remove those cancellations.


%28%28x%5E2-5x-4%29%2A1%29%2F%28%28x%2B1%29%28x%2B1%29%29 Multiply the fractions


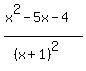
%28x%5E2-5x-4%29%2F%28x%5E2%2B2x%2B1%29 Expand and simplify

=============================================================================================================================
=============================================================================================================================

Final Answer


%28%28x%5E2-5x-4%29%2F%28x%5E2-1%29%29%2F%28%284x%5E2-4%29%2F%284x%5E2-8x%2B4%29%29


simplifies to


%28x%5E2-5x-4%29%2F%28x%5E2%2B2x%2B1%29


Optionally, you can have the denominator factored to have either %28x%5E2-5x-4%29%2F%28%28x%2B1%29%28x%2B1%29%29 or %28x%5E2-5x-4%29%2F%28%28x%2B1%29%5E2%29