SOLUTION: multiply and simplify. (-4√5)(-2√3) (√6+3)(√6-1) simplify by rationalizing the denominator a/√10+√2 Thank you so much for your help.

Algebra ->  Expressions-with-variables -> SOLUTION: multiply and simplify. (-4√5)(-2√3) (√6+3)(√6-1) simplify by rationalizing the denominator a/√10+√2 Thank you so much for your help.       Log On


   



Question 826904: multiply and simplify.
(-4√5)(-2√3)
(√6+3)(√6-1)
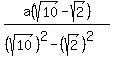
simplify by rationalizing the denominator
a/√10+√2
Thank you so much for your help. Out of 30 questions these are the 3 that I am struggling with.

Answer by MathLover1(20850) About Me  (Show Source):