SOLUTION: Ok I am studing for an exam and need help on a couple probelms. Please help! Thank you #1 Perform the indicated operation and simplify: 2x/x^2-4 +5/2-x -1/2+x #2 Solve 2+7/x=

Algebra ->  Expressions-with-variables -> SOLUTION: Ok I am studing for an exam and need help on a couple probelms. Please help! Thank you #1 Perform the indicated operation and simplify: 2x/x^2-4 +5/2-x -1/2+x #2 Solve 2+7/x=      Log On


   



Question 82454: Ok I am studing for an exam and need help on a couple probelms. Please help! Thank you
#1 Perform the indicated operation and simplify:
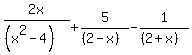
2x/x^2-4 +5/2-x -1/2+x
#2 Solve
2+7/x=4/x^2

Answer by ankor@dixie-net.com(22740) About Me  (Show Source):
You can put this solution on YOUR website!
#1 Perform the indicated operation and simplify:
2x/x^2-4 +5/2-x -1/2+x
2x%2F%28%28x%5E2-4%29%29+%2B++5%2F%28%282-x%29%29+-+1%2F%28%282%2Bx%29%29
:
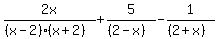
42x%2F%28%28x-2%29%28x%2B2%29%29+%2B++5%2F%28%282-x%29%29+-+1%2F%28%282%2Bx%29%29; Factored x^2 - 4
:
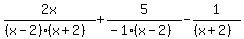
2x%2F%28%28x-2%29%28x%2B2%29%29+%2B++5%2F%28-1%28x-2%29%29+-+1%2F%28%28x%2B2%29%29; converted 2-x to x-2 with -1
:
2x%2F%28%28x-2%29%28x%2B2%29%29+-++5%2F%28%28x-2%29%29+-+1%2F%28%28x%2B2%29%29; -1 changes the sign
:
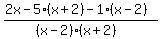
%282x+-+5%28x%2B2%29+-+1%28x-2%29%29%2F%28%28x-2%29%28x%2B2%29%29; put all over one denominator
:
%282x+-+5x+-+10+-+x+%2B+2%29%2F%28%28x-2%29%28x%2B2%29%29 = %28-+4x+-+8%29%2F%28%28x-2%29%28x%2B2%29%29 = %28-4%28x+%2B+2%29%29%2F%28%28x-2%29%28x%2B2%29%29 = -4%2F%28%28x-2%29%29
:
:
#2 Solve
2+%2B+%287%2Fx%29+=+4%2Fx%5E2
:
2x%5E2+%2B+7x+=+4; multiplied equation by x^2
:
2x%5E2+%2B+7x+-+4 = 0
:
(2x-1)(x+4) = 0
:
2x = +1
x = +1/2
and
x = -4
:
Check both solutions by substituting in original equation