SOLUTION: If f(x)= x+ 1/x, show that f(x).f(x+1/x)=f(x^2)+3 Thanks!! :)
Algebra
->
Expressions-with-variables
-> SOLUTION: If f(x)= x+ 1/x, show that f(x).f(x+1/x)=f(x^2)+3 Thanks!! :)
Log On
Algebra: Expressions involving variables, substitution
Section
Solvers
Solvers
Lessons
Lessons
Answers archive
Answers
Click here to see ALL problems on Expressions-with-variables
Question 824124
:
If f(x)= x+ 1/x, show that f(x).f(x+1/x)=f(x^2)+3
Thanks!! :)
Answer by
tommyt3rd(5050)
(
Show Source
):
You can
put this solution on YOUR website!
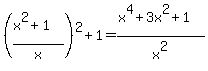
LHS:
RHS: