SOLUTION: Write an Algebraic expression for each of the following questions. Simplify the expression if possible. Find the average of x, (4x-3),(7x+4) and 15.

Algebra ->  Expressions-with-variables -> SOLUTION: Write an Algebraic expression for each of the following questions. Simplify the expression if possible. Find the average of x, (4x-3),(7x+4) and 15.      Log On


   



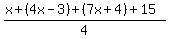
Question 818381: Write an Algebraic expression for each of the following questions. Simplify the expression if possible.
Find the average of x, (4x-3),(7x+4) and 15.

Answer by LinnW(1048) About Me  (Show Source):