SOLUTION: How do you solve this by using the subsitution? y = (2/3)x – 1 y = -x + 4 Show how you got your answer, so I can do the rest of these problem myself.

Algebra ->  Expressions-with-variables -> SOLUTION: How do you solve this by using the subsitution? y = (2/3)x – 1 y = -x + 4 Show how you got your answer, so I can do the rest of these problem myself.      Log On


   



Question 811699: How do you solve this by using the subsitution?
y = (2/3)x – 1
y = -x + 4
Show how you got your answer, so I can do the rest of these problem myself.

Answer by KMST(5328) About Me  (Show Source):
You can put this solution on YOUR website!
To solve a system by substitution, you start by finding an equation that is a formula to calculate one variable from the other. It would start with
y%22=...%22
or x%22=...%22
If there is no equation like that, you "make" one by solving for y or x in one of the equations.

Your system has an equation like that. (In fact, it has two of those).
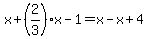
If y+=+%282%2F3%29x+-+1 , you can substitute the expression %282%2F3%29x+-+1 for y in the other equation to get
%282%2F3%29x+-+1=+-x%2B4
Now, you just solve for x , to start.
Adding x to both sides, you get
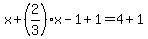
x%2B%282%2F3%29x+-+1=x-x%2B4
x%2B%282%2F3%29x+-+1=4
Adding 1 to both sides, you get
x%2B%282%2F3%29x+-+1=4
x%2B%282%2F3%29x+-+1%2B1=4%2B1
x%2B%282%2F3%29x=5
%281%2B2%2F3%29x=5
%285%2F3%29x=5
Now, multiplying both sides times 3%2F5 ,
or dividing both sides by 5%2F3 (same thing), you find that
%283%2F5%29%285%2F3%29x=5%283%2F5%29
x=5%283%2F5%29
highlight%28x=3%29
Now you go back to the equation that had y%22=...%22 (any of the two) and use it to calculate y from the x=3 you just found.
Substituting 3 for x in y=-x%2B4 you find
y=-3%2B4
highlight%28y=1%29