SOLUTION: It's always been a pet hate of mine, but here's my question:
How do you solve an equation when you have n^2 + n
So for example 210 = n^2 + n. Find n
Algebra ->
Expressions-with-variables
-> SOLUTION: It's always been a pet hate of mine, but here's my question:
How do you solve an equation when you have n^2 + n
So for example 210 = n^2 + n. Find n
Log On
Question 805402: It's always been a pet hate of mine, but here's my question:
How do you solve an equation when you have n^2 + n
So for example 210 = n^2 + n. Find n Answer by richwmiller(17219) (Show Source):
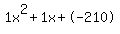
You can put this solution on YOUR website! 210 = n^2 + n
0 = n^2 + n-210
n^2 + n-210=0
If you are lucky, you can factor or complete the square
(n+15)*(n-14) =0
n=-15 and n=14 are solutions
The method that always works is the quadratic equation. see below