SOLUTION: -2m+13=2m-3
Algebra
->
Expressions-with-variables
-> SOLUTION: -2m+13=2m-3
Log On
Algebra: Expressions involving variables, substitution
Section
Solvers
Solvers
Lessons
Lessons
Answers archive
Answers
Click here to see ALL problems on Expressions-with-variables
Question 788902
:
-2m+13=2m-3
Answer by
jim_thompson5910(35256)
(
Show Source
):
You can
put this solution on YOUR website!
Start with the given equation.
Subtract
from both sides.
Subtract
from both sides.
Combine like terms on the left side.
Combine like terms on the right side.
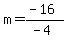
Divide both sides by
to isolate
.
Reduce.
----------------------------------------------------------------------
Answer:
So the solution is