SOLUTION: What are the steps required to express y in terms of x if x=y/sqrt(1+y^2)

Algebra ->  Expressions-with-variables -> SOLUTION: What are the steps required to express y in terms of x if x=y/sqrt(1+y^2)      Log On


   



Question 779636: What are the steps required to express y in terms of x if x=y/sqrt(1+y^2)
Answer by jsmallt9(3758) About Me  (Show Source):
You can put this solution on YOUR website!
x=y%2Fsqrt%281%2By%5E2%29
Expressing y in terms of x means to have an equation in the form:
y = expression with x in it
(or expression with x in it = y)
This will require that y not be in a denominator or in a square root. So we will eliminate the fraction first then the square root and then we will see what needs to happen next.

Multiplying both sides by the square root (i.e. the denominator) will eliminate the fraction:
x%2Asqrt%281%2By%5E2%29=y
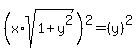
With just one term on the left side the square root is isolated (which is required to eliminate it). So we can eliminate the square root by squaring both sides:
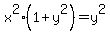
%28x%2Asqrt%281%2By%5E2%29%29%5E2=%28y%29%5E2
x%5E2%2A%281%2By%5E2%29=y%5E2
x%5E2%2Bx%5E2%2Ay%5E2=y%5E2

Now we solve for y. First we gather the y terms on one side of the equation. Subtracting x%5E2%2Ay%5E2 from each side:
x%5E2=y%5E2-x%5E2%2Ay%5E2
Since the terms on the right side are not like terms we cannot combine them. But we can factor out the y%5E2:
x%5E2=y%5E2%281-x%5E2%29
Dividing both sides by 1-x%5E2:
x%5E2%2F%281-x%5E2%29=y%5E2
And finally we find the square root of each side (remembering both square roots (positive and negative)):
+sqrt%28x%5E2%2F%281-x%5E2%29%29=y