SOLUTION: (5x^2-125)/(x^3-125)

Algebra ->  Expressions-with-variables -> SOLUTION: (5x^2-125)/(x^3-125)      Log On


   



Question 73720: (5x^2-125)/(x^3-125)
Answer by ankor@dixie-net.com(22740) About Me  (Show Source):
You can put this solution on YOUR website!
%28%285x%5E2-125%29%29%2F%28%28x%5E3-125%29%29
:
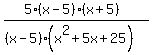
Numerator: factor out the 5, factor the difference of squares:
Denominator: Recognize the difference of cubes; (5^3 = 125)
:
%285%28x-5%29%28x%2B5%29%29%2F%28%28x-5%29%28x%5E2+%2B+5x+%2B+25%29%29
:
%285%28x%2B5%29%29%2F%28%28x%5E2+%2B+5x+%2B+25%29%29; cancel the (x-5)'s