SOLUTION: (n+1/3)+(n+2/4)=1

Algebra ->  Expressions-with-variables -> SOLUTION: (n+1/3)+(n+2/4)=1       Log On


   



Question 72525: (n+1/3)+(n+2/4)=1
Answer by jim_thompson5910(35256) About Me  (Show Source):
You can put this solution on YOUR website!
%28n%2B1%2F3%29%2B%28n%2B2%2F4%29=1
n%2Bn%2B1%2F3%2B2%2F4=1Group like terms and add
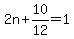
2n%2B10%2F12=1Solve for n
2n=1-5%2F6subtract 5/6 (10/12 reduced) from both sides
2n=%286-5%29%2F6Subtract fractions
2n=1%2F6Divide both sides by 2
n=1%2F12
Check:
%281%2F12%2B1%2F3%29%2B%281%2F12%2B2%2F4%29=1
%281%2F12%2B1%2F3%29%2B%281%2F12%2B2%2F4%29=1
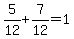
5%2F12%2B7%2F12=1
12%2F12=1
1=1Works