SOLUTION: A piece of wood burns completely in one second at 600 Degree-centigrade. The time the wood takes to burn is doubled for every 10 degree centigrade in temperature and halved for eve

Algebra ->  Expressions-with-variables -> SOLUTION: A piece of wood burns completely in one second at 600 Degree-centigrade. The time the wood takes to burn is doubled for every 10 degree centigrade in temperature and halved for eve      Log On


   



Question 715194: A piece of wood burns completely in one second at 600 Degree-centigrade. The time the wood takes to burn is doubled for every 10 degree centigrade in temperature and halved for every 10 degree centigrade increase in temperature. In how many seconds would the wood burn at
a.) 500 degree centigrade
b.) 650 degree centigrade
Please, use the exponential growth decay formula...

Answer by josgarithmetic(39625) About Me  (Show Source):
You can put this solution on YOUR website!
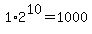
At 500 degrees, the time doubling to burn was 10 times. 1%2A2%5E10=1000approximately. Actually, computationally, 2%5E10+=+1024.


Using k=-0.0693, and d for change from 600 degree centigrade, we may use t=1*e^(kd). For 500 centigrade, d+=-100.

t=1%2Ae%5E%28-0.0693%2A%28-100%29%29
t=1022, seconds. Near enough, errors based on electronic handheld calculator.