SOLUTION: Hello. My question is s=n/2(f+l) and you solve for l. l=L in lowercase. Thank you if you help me! I know this is your free time.

Algebra ->  Expressions-with-variables -> SOLUTION: Hello. My question is s=n/2(f+l) and you solve for l. l=L in lowercase. Thank you if you help me! I know this is your free time.      Log On


   



Question 66027: Hello. My question is s=n/2(f+l) and you solve for l.
l=L in lowercase.
Thank you if you help me! I know this is your free time.

Answer by Earlsdon(6294) About Me  (Show Source):
You can put this solution on YOUR website!
Solve for l:
s+=+n%2F2%28f%2Bl%29 Multiply both sides by %28f%2Bl%29
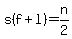
s%28f%2Bl%29+=+n%2F2 Now divide both sides by s.
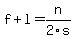
f%2Bl+=+n%2F2s Finally, subtract f from both sides.
l+=+%28n%2F2s%29-f