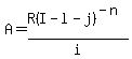
SOLUTION: can you please help me? the question is find J. this is the problem : A=R(I-l-j)^-n __________ i
Algebra
->
Expressions-with-variables
-> SOLUTION: can you please help me? the question is find J. this is the problem : A=R(I-l-j)^-n __________ i
Log On
Algebra: Expressions involving variables, substitution
Section
Solvers
Solvers
Lessons
Lessons
Answers archive
Answers
Click here to see ALL problems on Expressions-with-variables
Question 652302
:
can you please help me? the question is find J. this is the problem :
A=R(I-l-j)^-n
__________
i
Answer by
MathLover1(20850)
(
Show Source
):
You can
put this solution on YOUR website!
..or