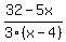
SOLUTION: simplify (X)/(x-4)-(8/3)
Algebra
->
Expressions-with-variables
-> SOLUTION: simplify (X)/(x-4)-(8/3)
Log On
Algebra: Expressions involving variables, substitution
Section
Solvers
Solvers
Lessons
Lessons
Answers archive
Answers
Click here to see ALL problems on Expressions-with-variables
Question 633729
:
simplify
(X)/(x-4)-(8/3)
Answer by
ewatrrr(24785)
(
Show Source
):
You can
put this solution on YOUR website!
Hi,
simplify
| Using CD 3(x-4)