Question 632870: Solve for x: 
That is the problem in the format the website requests. The following is the equation out of format, but I thought it might be easier to read. It is an equation divided by an equation divided by an equation and divided lastly by 12 to equal 2.
Solve for x: (3x 5)/4 (2 x)/6 + x/12 = 2.
Found 2 solutions by KMST, MathTherapy: Answer by KMST(5328) (Show Source):
You can put this solution on YOUR website! Congratulations on figuring out how to enter that expression.
However, I am not sure we have the right equation, because I get strange results.
Maybe the problem had some typos or mistakes before you got it.
Maybe something got lost in translation.
Or maybe I am making stupid mistakes in my calculations (it happens).
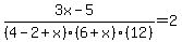
If the equation was with an = next to the longest horizontal line, meaning , then
is the same equation using a more compact equivalent expression.
I worked on that equation and I am showing it below, but the result is strange.
I thought that maybe the equation was really
, with the longest line halfway up the stack, above 6+x, and the equal sign next to that long line.
That is equivalent to --> (because dividing by an expression is the same as multiplying times its reciprocal).
--> --> --> --> --> --> , but that equation has no real solutions.
I will show the steps to solve the equation in the equivalent
layer cake form, but they are really the same, because dividing by an expression is the same as multiplying times its reciprocal.
I apologize for not being able to get the equal signs to align with the longest horizontal lines as it should be written.
--> --> --> --> --> -->
I justify most of the steps by saying that dividing by an expression is the same as multiplying times its reciprocal, just as dividing by 12 is the same as multiplying times .
From the more compact expression, the steps would be
--> -->
At this point, we realize that and make expressions in the original equation (and in the modified equation) undefined (because we would be dividing by zero), so they cannot be solutions.
That noted, we can multiply both sides of the equation by --> to get

Now we work our way to the inevitable quadratic equation:
--> --> --> -->
The solutions are

NOTES:
Those long horizontal fraction lines in between expressions include hidden, implied parentheses (one set wrapping around everything above the line, and the other set enclosing everything below the line). When we cannot write horizontal lines, we must put in those extra parentheses. It is not a question of optional formats, but of internationally accepted order of operations conventions. Without those conventions we could not understand other people, or even our calculators. Algebra is a simple language, but you have to use the right conventions.
In algebra language, (((3x-5)/(4-(2-x)))/(6+x))/12 means
.
On the other hand, in algebra language, (3x 5)/4 (2 x)/6 + x/12 = 2 means
, which is far different.
Your calculator knows the difference. If you make x=1 and enter both expressions the calculator will tell you that
(((3-5)/(4-(2-1)))/(6+1))/12=-1/126=-0.00794 , while
(3-5)/4-(2-1)/6 + 1/12=-7/12=-0.58333
As an analytical chemist, I have seen other chemists fail at communicating with their calculators because of those darn implied parentheses.
Answer by MathTherapy(10557) (Show Source):
|
|
|