SOLUTION: Short Answer: Simplify the following expression, and rewrite it in an equivalent form with positive exponents. (-x^-3)^-5

Algebra ->  Expressions-with-variables -> SOLUTION: Short Answer: Simplify the following expression, and rewrite it in an equivalent form with positive exponents. (-x^-3)^-5      Log On


   



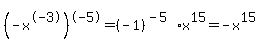
Question 608761: Short Answer: Simplify the following expression, and rewrite it in an equivalent form with positive exponents.
(-x^-3)^-5

Answer by ewatrrr(24785) About Me  (Show Source):