SOLUTION: Can someone help me step by step in reducing and simplifying this expression?? x^2+2x/(4x-3)/6x^3/(8x^2-2x-3) Thanks

Algebra ->  Expressions-with-variables -> SOLUTION: Can someone help me step by step in reducing and simplifying this expression?? x^2+2x/(4x-3)/6x^3/(8x^2-2x-3) Thanks      Log On


   



Question 56357: Can someone help me step by step in reducing and simplifying this expression??
x^2+2x/(4x-3)/6x^3/(8x^2-2x-3)
Thanks

Answer by Cintchr(481) About Me  (Show Source):
You can put this solution on YOUR website!
+%28%28x%5E2%2B2x%29%2F%284x-3%29%29%2F%286x%5E3%2F%288x%5E2-2x-3%29%29+
there is a property that says
+%28a%2Fb%29%2F%28c%2Fd%29+=+ad%2Fbc+
So lets re write the complex fraction into a simpler one
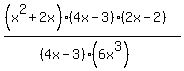
%28%28x%5E2%2B2x%29%288x%5E2-2x-3%29%29%2F%28%284x-3%29%286x%5E3%29%29+
Factor the 8x^2-2x-3 ....
%28%28x%5E2%2B2x%29%284x-3%29%282x-2%29%29%2F%28%284x-3%29%286x%5E3%29%29+
cancel the 4x -3 on top and bottom
%28%28x%5E2%2B2x%29%282x-2%29%29%2F%286x%5E3%29+
factor out an x from the first quantity and a 2 out of the second
%282x%28x%2B2%29%28x-1%29%29%2F%286x%5E3%29+
Reduce the 2x and the 6x^3
%28%28x%2B2%29%28x-1%29%29%2F%283x%5E2%29+
I would accept this answer ... your teacher may want you to foil out the numerator, in which case it would look like this
+%28x%5E2%2B1x+-2%29%2F%283x%5E2%29+