SOLUTION: what is 1/4(7+3g)= -g/8
Algebra
->
Expressions-with-variables
-> SOLUTION: what is 1/4(7+3g)= -g/8
Log On
Algebra: Expressions involving variables, substitution
Section
Solvers
Solvers
Lessons
Lessons
Answers archive
Answers
Click here to see ALL problems on Expressions-with-variables
Question 53058
This question is from textbook
Algebra 1
:
what is 1/4(7+3g)= -g/8
This question is from textbook
Algebra 1
Answer by
rchill(405)
(
Show Source
):
You can
put this solution on YOUR website!
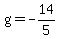
Multiply both sides by 8 to get 14+6g=-g, which simplifies to 5g=-14, or
.