SOLUTION: if x+y=a and xy=b then the value of {{{1/x^3+1/y^3}}}?THANK YOU VERY MUCH.

Algebra ->  Expressions-with-variables -> SOLUTION: if x+y=a and xy=b then the value of {{{1/x^3+1/y^3}}}?THANK YOU VERY MUCH.      Log On


   



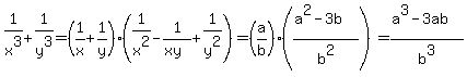
Question 455759: if x+y=a and xy=b then the value of 1%2Fx%5E3%2B1%2Fy%5E3?THANK YOU VERY MUCH.
Answer by robertb(5830) About Me  (Show Source):
You can put this solution on YOUR website!
1%2Fx%5E3+%2B+1%2Fy%5E3+=+%281%2Fx+%2B+1%2Fy%29%281%2Fx%5E2+-+1%2F%28xy%29+%2B+1%2Fy%5E2%29
Now 1%2Fx+%2B+1%2Fy+=+%28x%2By%29%2F%28xy%29+=+a%2Fb.
Also, %281%2Fx+%2B+1%2Fy%29%5E2+=+1%2Fx%5E2+%2B+2%2F%28xy%29+%2B+1%2Fy%5E2
==> 1%2Fx%5E2+%2B+2%2F%28xy%29+%2B+1%2Fy%5E2+=+a%5E2%2Fb%5E2
==>
==>