SOLUTION: By checking work records, a plumber finds that Raul can plumb a house in 48hr. Mira can do the same job in 36hr. How long would it take if they worked together?

Algebra ->  Expressions-with-variables -> SOLUTION: By checking work records, a plumber finds that Raul can plumb a house in 48hr. Mira can do the same job in 36hr. How long would it take if they worked together?      Log On


   



Question 452536: By checking work records, a plumber finds that Raul can plumb a house in 48hr. Mira can do the same job in 36hr. How long would it take if they worked together?
Found 2 solutions by Alan3354, MathLover1:
Answer by Alan3354(69443) About Me  (Show Source):
You can put this solution on YOUR website!
change to how much they do per hour
Raul does 1/48 of the job per hour.
Mira does 1/36 per hour
Now you can add them
Together they do 1/48 + 1/36 = 36/1728 + 48/1728 = 84/1728 per hour
--> 1728/84 hours per job
= 144/7 hours per job
=~ 20.57 hours

Answer by MathLover1(20850) About Me  (Show Source):
You can put this solution on YOUR website!
Raul can plumb a house in 48hr.....->........rate is 1%2F48
Mira can plumb a house in 36hr.....->........rate is 136
now find the rate if they work together:

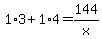
1%2F48+%2B+1+%2F+36+=+1%2Fx........ multiplying each term by common denominator 144, you got

1%2A144%2F48+%2B+1%2A144+%2F+36+=+1%2A144%2Fx

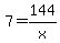
1%2A3+%2B+1%2A4+=+144%2Fx
7=+144%2Fx
7x=+144
x=+20.571428571428571428571428571429.which is approximately
x=+21h