SOLUTION: simplify the expression x+3 2x-5 --- + --- x+1 x-2

Algebra ->  Expressions-with-variables -> SOLUTION: simplify the expression x+3 2x-5 --- + --- x+1 x-2      Log On


   



Question 39241: simplify the expression
x+3 2x-5
--- + ---
x+1 x-2

Found 2 solutions by longjonsilver, fractalier:
Answer by longjonsilver(2297) About Me  (Show Source):
Answer by fractalier(6550) About Me  (Show Source):
You can put this solution on YOUR website!
From
x+3 2x-5
--- + ---
x+1 x-2
we can use what I call "the criss-cross method"
A C AD + BC
- + - = -------
B D BD
and so we get
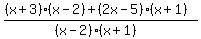
[(x+3)(x-2) + (2x-5)(x+1)] / (x+1)(x-2) =
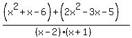
[x^2 + x - 6 + 2x^2 - 3x - 5] / (x+1)(x-2) =
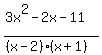
(3x^2 - 2x - 11) / (x+1)(x-2)