SOLUTION: This is supposed to be written as fractions divided by fractions 2/x-3-3/x+5/7/x+2+3/x+5

Algebra ->  Expressions-with-variables -> SOLUTION: This is supposed to be written as fractions divided by fractions 2/x-3-3/x+5/7/x+2+3/x+5      Log On


   



Question 353653: This is supposed to be written as fractions divided by fractions
2/x-3-3/x+5/7/x+2+3/x+5

Answer by Fombitz(32388) About Me  (Show Source):
You can put this solution on YOUR website!
Don't be afraid that you'll use too many parentheses, they're free, and they can help avoid a lot of confusion.
Let simplify first.

.
.
2%2F%28x-3%29-3%2F%28x%2B5%29=%282%28x%2B5%29-3%28x-3%29%29%2F%28%28x-3%29%28x%2B5%29%29
.
.
2%2F%28x-3%29-3%2F%28x%2B5%29=%28%282x%2B10%29-%283x-9%29%29%2F%28%28x-3%29%28x%2B5%29%29
.
.
2%2F%28x-3%29-3%2F%28x%2B5%29=%282x%2B10-3x%2B9%29%2F%28%28x-3%29%28x%2B5%29%29
.
.
2%2F%28x-3%29-3%2F%28x%2B5%29=%28-x%2B19%29%2F%28%28x-3%29%28x%2B5%29%29
.
.
.

.
.

.
.

.
.
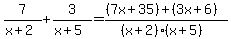
7%2F%28x%2B2%29%2B3%2F%28x%2B5%29=%287x%2B35%2B3x%2B6%29%2F%28%28x%2B2%29%28x%2B5%29%29
.
.
7%2F%28x%2B2%29%2B3%2F%28x%2B5%29=%2810x%2B41%29%2F%28%28x%2B2%29%28x%2B5%29%29
.
.
.
Dividing by a fraction is the same as multiplying by its reciprocal,

.
.

.
.