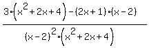
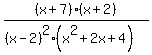
SOLUTION: {{{ 3/(x^2-2x+4)-(2x+1)/(x^3-8)}}}

Algebra ->  Expressions-with-variables -> SOLUTION: {{{ 3/(x^2-2x+4)-(2x+1)/(x^3-8)}}}      Log On