SOLUTION: evaluating rational expressions, add. simplify if possible. x(squared) + 7x + x (squared) - 4x ___________ _ ___________ ___ x(squared) - 5x x (squared) - 5x

Algebra ->  Expressions-with-variables -> SOLUTION: evaluating rational expressions, add. simplify if possible. x(squared) + 7x + x (squared) - 4x ___________ _ ___________ ___ x(squared) - 5x x (squared) - 5x       Log On


   



Question 33498: evaluating rational expressions, add. simplify if possible.
x(squared) + 7x + x (squared) - 4x
_____________ _______________
x(squared) - 5x x (squared) - 5x

Answer by Cintchr(481) About Me  (Show Source):
You can put this solution on YOUR website!
+%28%28x%5E2%2B7x%29%2F%28x%5E2-5x%29%29%2B%28%28x%5E2-4x%29%2F%28x%5E2-5x%29%29+
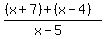
Factor an x out of all parts
+%28%28x%2B7%29%2F%28x-5%29%29+%2B+%28%28x-4%29%2F%28x-5%29%29+
Add your numerators
+%28%28x%2B7%29%2B%28x-4%29%29%2F%28x-5%29+
+%282x%2B3%29%2F%28x-5%29+
DONE