SOLUTION: Use completing the square to solve the following equation. (Enter solutions from smallest to largest. If the solutions are complex, enter them from smallest to largest value of the
Algebra ->
Expressions-with-variables
-> SOLUTION: Use completing the square to solve the following equation. (Enter solutions from smallest to largest. If the solutions are complex, enter them from smallest to largest value of the
Log On
Question 326299: Use completing the square to solve the following equation. (Enter solutions from smallest to largest. If the solutions are complex, enter them from smallest to largest value of the imaginary part.)
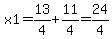
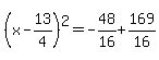
-6=2x^2-13x Answer by Fombitz(32388) (Show Source):