SOLUTION: Will you please help me with this rational equation? I got it wrong on my test but still am having trouble solving it. I appreciate you taking the time to help me. x/x^2-1+2/x-

Algebra ->  Expressions-with-variables -> SOLUTION: Will you please help me with this rational equation? I got it wrong on my test but still am having trouble solving it. I appreciate you taking the time to help me. x/x^2-1+2/x-      Log On


   



Question 286145: Will you please help me with this rational equation? I got it wrong on my test but still am having trouble solving it. I appreciate you taking the time to help me.
x/x^2-1+2/x-1=1+1/2x-2
I know the LCD is 2(x+1)(x-1). I multiplied every numerator by the missing factor and came up with totally the wrong answer. I am not sure what to do with the "+1."
Tina

Answer by oberobic(2304) About Me  (Show Source):
You can put this solution on YOUR website!
x%2F%28x%5E2-1%29%2B2%2F%28x-1%29=1%2B1%2F%282x-2%29
.
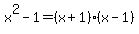
x%5E2-1+=+%28x%2B1%29%28x-1%29
2x-2+=+2%28x-1%29
.

.
The idea of the LCD is to get rid of the denominators...so cancel the terms you can:
.

.
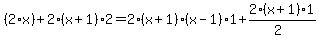
Of course we can eliminate any '1' that is a multiplier, and cancel the 2/2. And 2*2 is 4.
.
+2x+%2B+4%28x%2B1%29+=+2%28x%2B1%29%28x-1%29+%2B+%28x%2B1%29+
.
+2x+%2B+4x+%2B+4+=+2%28x%5E2+-1%29+%2B+x+%2B+1+
.
+6x+%2B+4+=+2x%5E2+-2+%2B+x+%2B+1+
.
Subtract 6x from both sides.
.
4+=+2x%5E2+-2+%2B+x+%2B1+-6x+
.
4+=+2x%5E2+-5x+-1+
.
Subtract 4 from both sides.
.
0+=+2x%5E2+-5x+-5+
.
This cannot be factored easily, so the quadratic equation can be used.
.
Solved by pluggable solver: SOLVE quadratic equation with variable
Quadratic equation ax%5E2%2Bbx%2Bc=0 (in our case 2x%5E2%2B-5x%2B-5+=+0) has the following solutons:

x%5B12%5D+=+%28b%2B-sqrt%28+b%5E2-4ac+%29%29%2F2%5Ca

For these solutions to exist, the discriminant b%5E2-4ac should not be a negative number.

First, we need to compute the discriminant b%5E2-4ac: b%5E2-4ac=%28-5%29%5E2-4%2A2%2A-5=65.

Discriminant d=65 is greater than zero. That means that there are two solutions: +x%5B12%5D+=+%28--5%2B-sqrt%28+65+%29%29%2F2%5Ca.

x%5B1%5D+=+%28-%28-5%29%2Bsqrt%28+65+%29%29%2F2%5C2+=+3.26556443707464
x%5B2%5D+=+%28-%28-5%29-sqrt%28+65+%29%29%2F2%5C2+=+-0.765564437074637

Quadratic expression 2x%5E2%2B-5x%2B-5 can be factored:
2x%5E2%2B-5x%2B-5+=+2%28x-3.26556443707464%29%2A%28x--0.765564437074637%29
Again, the answer is: 3.26556443707464, -0.765564437074637. Here's your graph:
graph%28+500%2C+500%2C+-10%2C+10%2C+-20%2C+20%2C+2%2Ax%5E2%2B-5%2Ax%2B-5+%29