SOLUTION: "solve the problem" A closed box with a square base is required to have a volume of 10 cubic feet. Express the amount of material used to make such a box as a function of the leng

Algebra ->  Expressions-with-variables -> SOLUTION: "solve the problem" A closed box with a square base is required to have a volume of 10 cubic feet. Express the amount of material used to make such a box as a function of the leng      Log On


   



Question 248641: "solve the problem" A closed box with a square base is required to have a volume of 10 cubic feet. Express the amount of material used to make such a box as a function of the length x of a side of the square base?
I tried to start with f(x)=10/x+x

thanks for any help

Answer by josmiceli(19441) About Me  (Show Source):
You can put this solution on YOUR website!
Let h = height
Let x = side of square base
The volume is
V+=+x%5E2%2Ah
given:
10+=+x%5E2%2Ah
h+=+10%2Fx%5E2
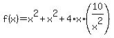
The area of the closed box is:
f%28x%29+=+x%5E2+%2B+x%5E2+%2B+4%2Ax%2A%2810%2Fx%5E2%29
f%28x%29+=+2x%5E2+%2B+40%2Fx m2 answer