Your Result:
YOUR ANSWER
- Graphical form:
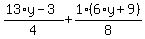
simplifies to  - Text form: 1/4*(13y-3)+1/8*(6y+9) simplifies to 4*y+3/8
- Cartoon (animation) form:
For tutors: simplify_cartoon( 1/4*(13y-3)+1/8*(6y+9) )
- If you have a website, here's a link to this solution.
|
DETAILED EXPLANATION
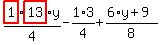
Look at . Remove extraneous '1' from product  It becomes .
Look at . Remove extraneous '1' from product  It becomes .
Look at . Expanded term by using associative property on  It becomes .
Look at . Multiplied numerator integers It becomes .
Look at . Multiplied numerator integers It becomes .
Look at . Moved to the right of expression It becomes .
Look at . Expanded term by using associative property on  It becomes .
Look at . Factors 6 and 8 have greatest common factor (GCF) of 2. Reducing fraction. It becomes .
Look at . Multiplied numerator integers It becomes .
Look at . Multiplied numerator integers It becomes .
Look at . Added fractions or integers together It becomes .
Look at . Eliminated similar terms , replacing them with  It becomes .
Look at . Multiplied numerator integers It becomes .
Look at . Multiplied numerator integers It becomes .
Look at . Added fractions or integers together It becomes .
Look at . Remove unneeded parentheses around factor , It becomes .
Look at . Factors 16 and 4 have greatest common factor (GCF) of 4. Reducing fraction. It becomes .
Look at . Remove extraneous '1' from product  It becomes . Result: 
Universal Simplifier and Solver
Done!
|