SOLUTION: Im not sure if this is the correct area but I need some help with this problem. I have a problem understanding math, especially when there's to many part. So here it is. ADD 2x/x

Algebra ->  Expressions-with-variables -> SOLUTION: Im not sure if this is the correct area but I need some help with this problem. I have a problem understanding math, especially when there's to many part. So here it is. ADD 2x/x      Log On


   



Question 201483: Im not sure if this is the correct area but I need some help with this problem. I have a problem understanding math, especially when there's to many part. So here it is.
ADD
2x/x+4-1/x-3+3/x

Answer by Edwin McCravy(20056) About Me  (Show Source):
You can put this solution on YOUR website!
2x%2F%28x%2B4%29-1%2F%28x-3%29%2B3%2Fx

You must get the LCD.  Since none will factor and they are all
different, we find the LCD by multiplying them together:

LCD=%28x%2B4%29%28x-3%29x or since it is customary to put the
shortest factor first,

LCD=x%28x%2B4%29%28x-3%29

Put parentheses around all three terms:

%282x%2F%28x%2B4%29%29-%281%2F%28x-3%29%29%2B%283%2Fx%29


Next we multiply each fraction top and bottom by all the
factors of the LCD which its denominator needs to be multiplied 
by in order to become equal to the LCD:

The fraction %282x%2F%28x%2B4%29%29 needs to be multiplied top and
bottom by both x and by %28x-3%29%29 

The fraction -%281%2F%28x-3%29%29 needs to be multiplied top and bottom 
both by x and by %28x%2B4%29%29 

The fraction %283%2Fx%29 needs to be multiplied both by %28x-3%29
and by %28x%2B4%29%29



Indicate the multiplication of the numerators and denominators:



Now we multiply the numerators out, but NOT the denominators.
Notice that the denominators are all equal to the LCD, x%28x%2B4%29%28x-3%29




Finish multiplying out the numerators:



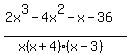
Now we combine the three numerators all over the LCD:



Remove the parentheses in the top:



Combine all the like terms in the top:

%282x%5E3-4x%5E2+-x-36%29%2F%28x%28x%2B4%29%28x-3%29%29+%0D%0A+

Edwin