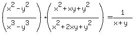
SOLUTION: (((x^2-y^2)/(x^3-y^3))*((x^2+xy+y^2)/(x^2+2xy+y^2)))

Algebra ->  Expressions-with-variables -> SOLUTION: (((x^2-y^2)/(x^3-y^3))*((x^2+xy+y^2)/(x^2+2xy+y^2)))      Log On


   



Question 197930: (((x^2-y^2)/(x^3-y^3))*((x^2+xy+y^2)/(x^2+2xy+y^2)))
Answer by jim_thompson5910(35256) About Me  (Show Source):
You can put this solution on YOUR website!

Start with the given expression.


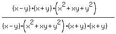
Factor x%5E2-y%5E2 to get %28x-y%29%28x%2By%29.


Factor x%5E3-y%5E3 to get %28x-y%29%28x%5E2%2Bxy%2By%5E2%29.


Factor x%5E2%2B2xy%2By%5E2 to get %28x%2By%29%28x%2By%29.


Combine the fractions.


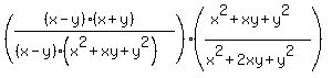
Highlight the common terms.


Cancel out the common terms.


1%2F%28x%2By%29 Simplify.


So simplifies to 1%2F%28x%2By%29.


In other words,