SOLUTION: I know this is probably really easy, but I am stuck. I'd appreciate any help you can offer. Rewrite the following expression with positive exponents: (37xy)^-6/7

Algebra ->  Expressions-with-variables -> SOLUTION: I know this is probably really easy, but I am stuck. I'd appreciate any help you can offer. Rewrite the following expression with positive exponents: (37xy)^-6/7       Log On


   



Question 179574: I know this is probably really easy, but I am stuck. I'd appreciate any help you can offer.
Rewrite the following expression with positive exponents:
(37xy)^-6/7

Answer by jim_thompson5910(35256) About Me  (Show Source):
You can put this solution on YOUR website!
If you have the expression %28a%2Fb%29%5E%28-2%29, then to make the exponent positive, simply flip the fraction. So %28a%2Fb%29%5E%28-2%29=%28b%2Fa%29%5E2


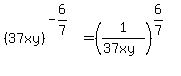
So in this case, the expression %2837xy%29%5E%28-6%2F7%29 really looks like %2837xy%2F1%29%5E%28-6%2F7%29. Now flip the fraction to get %281%2F%2837xy%29%29%5E%286%2F7%29 which will make the exponent positive.

--------------------------------------------
Answer:

So %2837xy%29%5E%28-6%2F7%29=%281%2F%2837xy%29%29%5E%286%2F7%29 where every variable is nonzero.