SOLUTION: 44) x/(x^2 – 2x – 3) - 3x/(x^2 – 9) ......please i'm desperate and can you please show the steps, so i can see how u got the answer. Perform the operations or solve if it

Algebra ->  Expressions-with-variables -> SOLUTION: 44) x/(x^2 – 2x – 3) - 3x/(x^2 – 9) ......please i'm desperate and can you please show the steps, so i can see how u got the answer. Perform the operations or solve if it       Log On


   



Question 178160: 44) x/(x^2 – 2x – 3) - 3x/(x^2 – 9) ......please i'm desperate and can you please show the steps, so i can see how u got the answer.
Perform the operations or solve if it is an equation (= sign)

Found 3 solutions by Fombitz, jim_thompson5910, Alan3354:
Answer by Fombitz(32388) About Me  (Show Source):
You can put this solution on YOUR website!
It is not an equation.
It is an expression and you want to simplify it.
x%2F%28x%5E2-2x-3%29-%283x%29%2F%28x%5E2-9%29
The expressions are both fractions.
When subtracting (or adding) fractions, you need to have a common denominator.
Let's look to see if we can factor the denominators first to simplify this task.
x%5E2-2x-3=%28x-3%29%28x%2B1%29
and
x%5E2-9%29=%28x-3%29%28x%2B3%29
OK, let's make this substitution,

The common denominator is
%28x-3%29%28x%2B3%29%28x%2B1%29
You need to multiply the first term by +%28x%2B3%29%2F%28x%2B3%29+ and the second term by +%28x%2B1%29%2F%28x%2B1%29+ to get the common denominators.





That's the final answer, it's as simplified as it can be.

Answer by jim_thompson5910(35256) About Me  (Show Source):
You can put this solution on YOUR website!
x%2F%28x%5E2-2x-3%29-3x%2F%28x%5E2-9%29 Start with the given expression


x%2F%28%28x%2B1%29%28x-3%29%29-3x%2F%28x%5E2-9%29 Factor the first denominator


x%2F%28%28x%2B1%29%28x-3%29%29-3x%2F%28%28x%2B3%29%28x-3%29%29 Factor the second denominator



Take note that the LCD is %28x%2B1%29%28x%2B3%29%28x-3%29 (the LCD is comprised of the unique factors of both denominators). So the goal is to get EVERY denominator equal to the LCD


Multiply both the numerator and denominator of the first fraction by x%2B3 to get the denominator equal to the LCD


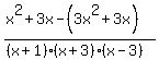
%28x%5E2%2B3x%29%2F%28%28x%2B1%29%28x%2B3%29%28x-3%29%29-3x%2F%28%28x%2B3%29%28x-3%29%29 Distribute


Multiply both the numerator and denominator of the second fraction by x%2B1 to get the denominator equal to the LCD


Distribute


Now that EVERY denominator is equal to the LCD, we can subtract the fractions:


%28x%5E2%2B3x-%283x%5E2%2B3x%29%29%2F%28%28x%2B1%29%28x%2B3%29%28x-3%29%29 Combine the fractions by subtracting the numerators over the common denominator.


%28x%5E2%2B3x-3x%5E2-3x%29%2F%28%28x%2B1%29%28x%2B3%29%28x-3%29%29 Distribute


%28-2x%5E2%29%2F%28%28x%2B1%29%28x%2B3%29%28x-3%29%29 Combine like terms.


%28-2x%5E2%29%2F%28x%5E3%2Bx%5E2-9x-9%29 Multiply the terms out in the denominator (this step is optional)


====================================================

Answer:

So

where x%3C%3E-3, x%3C%3E-1, or x%3C%3E0


Or..

x%2F%28x%5E2-2x-3%29-3x%2F%28x%5E2-9%29=%28-2x%5E2%29%2F%28x%5E3%2Bx%5E2-9x-9%29 where x%3C%3E-3, x%3C%3E-1, or x%3C%3E0


Note: both answers are the same, but the second one is if you decided to expand the denominator

Answer by Alan3354(69443) About Me  (Show Source):
You can put this solution on YOUR website!
------------
%28x%2F%28x%5E2-2x-3%29%29+-+%283x%2F%28x%5E2-9%29%29
Factor the DENs
=%28x%2F%28%28x-3%29%2A%28x%2B1%29%29%29+-+3x%2F%28%28x-3%29%2A%28x%2B3%29%29
To get a common DEN, multiply the 1st one by (x+3) and the 2nd by (x+1). Multiply NUM and DEN.
=
Now the DENs are the same, so add the NUMS after expanding them.
=
=%28x%5E2%2B3x+-3x%5E2-3x%29%2FDEN save some typing
=-2x%5E2%2FDEN