SOLUTION: reduce the expression to lowest terms: {{{(-2x - 8)/(x^2+2x - 8)}}} Thank you

Algebra ->  Expressions-with-variables -> SOLUTION: reduce the expression to lowest terms: {{{(-2x - 8)/(x^2+2x - 8)}}} Thank you      Log On


   



Question 174577: reduce the expression to lowest terms:
%28-2x+-+8%29%2F%28x%5E2%2B2x+-+8%29
Thank you

Answer by Edwin McCravy(20059) About Me  (Show Source):
You can put this solution on YOUR website!

%28-2x+-+8%29%2F%28x%5E2%2B2x+-+8%29

Factor out -2 on top, and factor
the bottom trinomial:

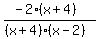
%28-2%28x+%2B+4%29%29%2F%28%28x%2B4%29%28x-2%29%29

Cancel:

%28-2cross%28%28x+%2B+4%29%29%29%2F%28cross%28%28x%2B4%29%29%28x-2%29%29

All that's left is:

%28-2%29%2F%28x-2%29

You can leave it like that, or you can make
it slightly shorter by multiplying top and 
bottom by %28%28-1%29%29%2F%28%28-1%29%29

%28%28-1%29%28-2%29%29%2F%28%28-1%29%28x-2%29%29

2%2F%28-x%2B2%29

Then reverse the terms in the bottom and
you've saved one sign:

2%2F%282-x%29

But your teacher will probably just expect
you to leave it as:

%28-2%29%2F%28x-2%29

Edwin