SOLUTION: *Expressing the area of a plane figure* To help visualize the triangle, the dimensions are as follows: The height of the triangle is broken up into two portions, the upper po

Algebra ->  Expressions-with-variables -> SOLUTION: *Expressing the area of a plane figure* To help visualize the triangle, the dimensions are as follows: The height of the triangle is broken up into two portions, the upper po      Log On


   



Question 165069: *Expressing the area of a plane figure*
To help visualize the triangle, the dimensions are as follows:
The height of the triangle is broken up into two portions, the upper portion being (x+2) and the lower being, 4/x(x+2).
The base of the triangle is x + 4.
Determine the total area, in terms of x, of the triangle. Express your answer as a rational expression (Single fraction) in factored form.

Answer by MRperkins(300) About Me  (Show Source):
You can put this solution on YOUR website!
Given:
h1%2Bh2=h
.
h1=%28x%2B2%29
.
h2=%284%2F%28x%28x%2B2%29%29%29
.
b=%28x%2B4%29
.
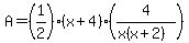
Formula: %28A%29rea=%281%2F2%29%2A%28b%29ase%2A%28h%29eight
A=%281%2F2%29%28x%2B4%29%284%2F%28x%28x%2B2%29%29%29
multiply across and you get A=%28%281%29%28x%2B4%29%284%29%29%2F%282x%28x%2B2%29%29
reduce the 4 in the numerator with the 2 in the denominator and you get:
A=%282%28x%2B4%29%29%2F%28x%28x%2B2%29%29
.
.
Tutoring available
email: justin.sheppard.tech@hotmail.com for more information