SOLUTION: Please help me solve the following expression: Divide: {{{((x+2)/(x-2))/((x^2-4)/(2-x))}}}

Algebra ->  Expressions-with-variables -> SOLUTION: Please help me solve the following expression: Divide: {{{((x+2)/(x-2))/((x^2-4)/(2-x))}}}      Log On


   



Question 153719: Please help me solve the following expression:
Divide:
%28%28x%2B2%29%2F%28x-2%29%29%2F%28%28x%5E2-4%29%2F%282-x%29%29

Answer by Fombitz(32388) About Me  (Show Source):
You can put this solution on YOUR website!
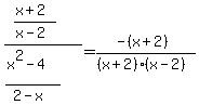
Take out (-1) from bottom expression denominator.
Denominators in top and bottom expression cancel out.
Factor the quadratic and substitute,
x%5E2-4=%28x%2B2%29%28x-2%29


%28%28x%2B2%29%2F%28x-2%29%29%2F%28%28x%5E2-4%29%2F%282-x%29%29=1%2F%282-x%29