SOLUTION: (x^2-25)/(x^3-4x^2-5x)*(x^2+x)/(1-x^2)
Algebra
->
Expressions-with-variables
-> SOLUTION: (x^2-25)/(x^3-4x^2-5x)*(x^2+x)/(1-x^2)
Log On
Algebra: Expressions involving variables, substitution
Section
Solvers
Solvers
Lessons
Lessons
Answers archive
Answers
Click here to see ALL problems on Expressions-with-variables
Question 145318
:
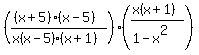
(x^2-25)/(x^3-4x^2-5x)*(x^2+x)/(1-x^2)
Answer by
jim_thompson5910(35256)
(
Show Source
):
You can
put this solution on YOUR website!
Start with the given expression
Factor
to get
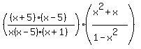
Factor
to get
Factor
to get
Factor
to get
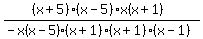
Combine the fractions
Cancel like terms
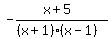
Simplify
So
simplifies to