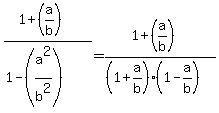
SOLUTION: This is another one that has me stumped. Please solve: 1+(a/b) / 1-(a^2/b^2) Thanx for your help!
Algebra
->
Expressions-with-variables
-> SOLUTION: This is another one that has me stumped. Please solve: 1+(a/b) / 1-(a^2/b^2) Thanx for your help!
Log On
Algebra: Expressions involving variables, substitution
Section
Solvers
Solvers
Lessons
Lessons
Answers archive
Answers
Click here to see ALL problems on Expressions-with-variables
Question 124191
:
This is another one that has me stumped.
Please solve:
1+(a/b) / 1-(a^2/b^2)
Thanx for your help!
Answer by
solver91311(24713)
(
Show Source
):
You can
put this solution on YOUR website!
Remember the factorization of the difference of two squares?
Well,
and
, so the denominator in your problem factors to
So: