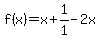
SOLUTION: If {{{ f(x) = x+1/1-2x }}} find a simplified expression for {{{ f (-1/x) }}}

Algebra ->  Expressions-with-variables -> SOLUTION: If {{{ f(x) = x+1/1-2x }}} find a simplified expression for {{{ f (-1/x) }}}      Log On


   



Question 1189238: If +f%28x%29+=+x%2B1%2F1-2x+ find a simplified expression for +f+%28-1%2Fx%29+
Answer by Alan3354(69443) About Me  (Show Source):
You can put this solution on YOUR website!
If +f%28x%29+=+x%2B1%2F1-2x+ find a simplified expression for f(-1/x)
------------------
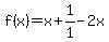
f%28x%29+=+x%2B1%2F1-2x+
f%28x%29+=+-x%2B1
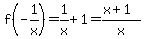
f%28-1%2Fx%29+=+1%2Fx+%2B+1+=+%28x%2B1%29%2Fx