SOLUTION: When the digits of a two-digit number are reversed, the new number is 9 more than the original number, and the sum of the digits of the original number is 11. What is the origina

Algebra ->  Expressions-with-variables -> SOLUTION: When the digits of a two-digit number are reversed, the new number is 9 more than the original number, and the sum of the digits of the original number is 11. What is the origina      Log On


   



Question 1184975: When the digits of a two-digit number are reversed, the new number is 9 more
than the original number, and the sum of the digits of the original number
is 11. What is the original
I want to know the solution to that problem but for a number of 5 digits, please, greetings.

Found 2 solutions by Edwin McCravy, ikleyn:
Answer by Edwin McCravy(20065) About Me  (Show Source):
You can put this solution on YOUR website!
t = tens digit
u = units digit
10t+u = original 2-digit number
10u+t = original number reversed

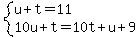
system%28u%2Bt=11%2C10u%2Bt+=+10t%2Bu%2B9%29

Simplify the second equation:

system%28u%2Bt=11%2C9u-9t+=+9%29

Divide the second equation through by 9

system%28u%2Bt=11%2Cu-t=1%29 

Add the two equations

2u=12
u=6

Substitute 6 for u in

u%2Bt=11
6%2Bt=11
t=5

The number is 56.
Checking: The sum of its digits, 5 and 6 is 11. 
It's reverse is 65, which is 9 more than 56.

--------------------------

You mentioned 5-digit numbers.

There is no 5-digit number with sum of digits 11 whose reverse
is 9 more than the original number.  The best you can do is have
them the same, as in 10901, whose reverse is the same thing.  The 
next best would be something like 10811, whose reverse is 11801,
and the reverse is 990 more than the original number.

Edwin


Answer by ikleyn(52906) About Me  (Show Source):
You can put this solution on YOUR website!
.

To see many solved problems on reversing digits,  look into the lesson
    - Word problems on reversing digits of numbers
in this site.