SOLUTION: When solving - 3x^2 + 4x + 3 = 0 by completing the square, what would [x - (2/3)]^2 equal ?

Algebra ->  Expressions-with-variables -> SOLUTION: When solving - 3x^2 + 4x + 3 = 0 by completing the square, what would [x - (2/3)]^2 equal ?      Log On


   



Question 1152632: When solving - 3x^2 + 4x + 3 = 0 by completing the square, what would [x - (2/3)]^2 equal ?
Found 2 solutions by MathLover1, MathTherapy:
Answer by MathLover1(20850) About Me  (Show Source):
You can put this solution on YOUR website!

-+3x%5E2+%2B+4x+%2B+3+=+0
-%283x%5E2+-+4x%29+%2B+3+=+0
-+3%28x%5E2+-+4x%2F3%2Bb%5E2%29-%28-3b%5E2%29+%2B+3+=+0
-+3%28x%5E2+-+%284%2F3%29x%2Bb%5E2%29%2B3b%5E2%29+%2B+3+=+0..........2ab=2%2A1%2Ab=> 2b=4%2F3=>b=4%2F6=2%2F3
-+3%28x%5E2+-+%284%2F3%29x%2B%282%2F3%29%5E2%29%2B3%282%2F3%29%5E2%29+%2B+3+=+0
-+3%28x-2%2F3%29%5E2%2B3%284%2F9%29+%2B+3+=+0
-+3%28x-2%2F3%29%5E2%2B%284%2F3%29+%2B+9%2F3+=+0
-+3%28x-2%2F3%29%5E2%2B13%2F3+=+0

what would %28x+-+2%2F3%29%5E2 equal ?

-+3%28x-2%2F3%29%5E2%2B13%2F3+=+0

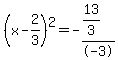
-+3%28x-2%2F3%29%5E2+=+-13%2F3

%28x-2%2F3%29%5E2+=+-%2813%2F3%29%2F-+3

%28x-2%2F3%29%5E2+=+13%2F9

Answer by MathTherapy(10557) About Me  (Show Source):
You can put this solution on YOUR website!
When solving - 3x^2 + 4x + 3 = 0 by completing the square, what would [x - (2/3)]^2 equal ?
matrix%281%2C3%2C+-+3x%5E2+%2B+4x+%2B+3%2C+%22=%22%2C+0%29
matrix%281%2C3%2C++-++3x%5E2+%2B+4x%2C+%22=%22%2C+-+3%29
matrix%281%2C3%2C+-+3%28x%5E2+-+%284%2F3%29x%29%2C+%22=%22%2C+-+3%281%29%29
matrix%281%2C3%2C+x%5E2+-+%284%2F3%29x%2C+%22=%22%2C+1%29
--- Taking 1%2F2 of b, squaring the result, then adding to both sides

matrix%281%2C3%2C+%28x++-++2%2F3%29%5E2%2C+%22=%22%2C+1+%2B+4%2F9%29