SOLUTION: Consider the line y = -3/-2 x +6. Find the equation of the line that is perpendicular to this line and passes through the point (-9,-3). Find the equation of the line that is

Algebra ->  Expressions-with-variables -> SOLUTION: Consider the line y = -3/-2 x +6. Find the equation of the line that is perpendicular to this line and passes through the point (-9,-3). Find the equation of the line that is       Log On


   



Question 1134080: Consider the line y = -3/-2 x +6.
Find the equation of the line that is perpendicular to this line and passes through the point (-9,-3).
Find the equation of the line that is parallel to this line and passes through the point (-9,-3).

Answer by josgarithmetic(39617) About Me  (Show Source):
You can put this solution on YOUR website!
---
---
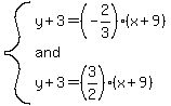
Consider the line y = -3/-2 x +6.
Find the equation of the line that is perpendicular to this line and passes through the point (-9,-3).
Find the equation of the line that is parallel to this line and passes through the point (-9,-3).
---
---

Your given line is the same as y=3x%2F2%2B6.

Slope for the perpendicular line is -2%2F3.
Slope for the parallel line is 3%2F2.

You might choose the point-slope equation form to find the two lines asked for.
system%28y%2B3=%28-2%2F3%29%28x%2B9%29%2Cand%2Cy%2B3=%283%2F2%29%28x%2B9%29%29