Question 1122263: Found this on an SAT Practice test.
(6x-1)/(x+4)
Which of the following is equivalent to the expression above?
A) 6-[25/(x+4)]
B) 6-[1/(x+4)]
C) 6-(1/4)
D) (6-1)/4
Hopefully the parentheses I added make it less confusing.
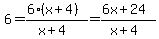
So, I know it's not C or D, since, well, where did the x go? So, that leaves A and B. I looked at the answers and found that it is A, but why? How can I get from (6x-1)/(x+4) to 6-[25/(x+4)]? Please show steps, I need to learn this so I can get this right in the future.
Found 4 solutions by josgarithmetic, greenestamps, solver91311, MathTherapy: Answer by josgarithmetic(39618) (Show Source): Answer by greenestamps(13200) (Show Source): Answer by solver91311(24713) (Show Source): Answer by MathTherapy(10552) (Show Source):
You can put this solution on YOUR website!
Found this on an SAT Practice test.
(6x-1)/(x+4)
Which of the following is equivalent to the expression above?
A) 6-[25/(x+4)]
B) 6-[1/(x+4)]
C) 6-(1/4)
D) (6-1)/4
Hopefully the parentheses I added make it less confusing.
So, I know it's not C or D, since, well, where did the x go? So, that leaves A and B. I looked at the answers and found that it is A, but why? How can I get from (6x-1)/(x+4) to 6-[25/(x+4)]? Please show steps, I need to learn this so I can get this right in the future.
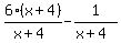
6
x + 4)6x - 1
6x + 24
- 25 (Remainder)
From above, you can see that the answer is: 
|
|
|