SOLUTION: How to simplify the expression? -5+i/2i I've been stuck on this question for the longest time so an explanation on how to do this would be highly appreciated.

Algebra ->  Expressions-with-variables -> SOLUTION: How to simplify the expression? -5+i/2i I've been stuck on this question for the longest time so an explanation on how to do this would be highly appreciated.      Log On


   



Question 1104247: How to simplify the expression?
-5+i/2i

I've been stuck on this question for the longest time so an explanation on how to do this would be highly appreciated.

Answer by josgarithmetic(39627) About Me  (Show Source):
You can put this solution on YOUR website!
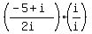
Is this supposed to be %28-5%2Bi%29%2F%282i%29 ?
%28%28-5%2Bi%29%2F%282i%29%29%28i%2Fi%29
%28-5%2Bi%29i%2F%28-2%29
%285-i%29i%2F2
%285i-i%5E2%29%2F2
highlight%28%285i%2B1%29%2F2%29
Or if you need, %285%2F2%29i%2B1%2F2