SOLUTION: Simplify each radical expression. (sqrt2+ 3)^2

Algebra ->  Expressions-with-variables -> SOLUTION: Simplify each radical expression. (sqrt2+ 3)^2       Log On


   



Question 109802: Simplify each radical expression.
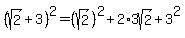
(sqrt2+ 3)^2

Answer by HyperBrain(694) About Me  (Show Source):
You can put this solution on YOUR website!
%28sqrt%282%29%2B3%29%5E2=%28sqrt%282%29%29%5E2%2B2%2A3sqrt%282%29%2B3%5E2
%28sqrt%282%29%2B3%29%5E2=2%2B6sqrt%282%29%2B9
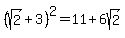
%28sqrt%282%29%2B3%29%5E2=11%2B6sqrt%282%29

Power up,
HyperBrain!