SOLUTION: Instructions for this problem: Simplify the expression. Write your answer using only positive exponents. I think I know how to do it, but I'm not positive. Please correct me if

Algebra ->  Expressions-with-variables -> SOLUTION: Instructions for this problem: Simplify the expression. Write your answer using only positive exponents. I think I know how to do it, but I'm not positive. Please correct me if       Log On


   



Question 1091518: Instructions for this problem: Simplify the expression. Write your answer using only positive exponents.
I think I know how to do it, but I'm not positive. Please correct me if this is wrong. The first line is over the second line in a fraction.
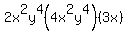
+2x%5E2y%5E4%284x%5E2y%5E4%29%283x%29+
+3x%5E-3y%5E2+

So for this, would I multiply this: +2x%5E2y%5E4%284x%5E2y%5E4%29+ first?
Then would I divide 8 by 3 and then so on and so forth?

Answer by Alan3354(69443) About Me  (Show Source):
You can put this solution on YOUR website!
The first line is over the second line in a fraction.
+2x%5E2y%5E4%284x%5E2y%5E4%29%283x%29+
+3x%5E-3y%5E2+
---------------
Write it like this:
+%282x%5E2y%5E4%284x%5E2y%5E4%29%283x%29%29%2F%283x%5E-3y%5E2%29+
= %286x%5E3y%5E4%284x%5E2y%5E4%29%29%2F%283x%5E-3y%5E2%29+
= %2824x%5E5y%5E8%29%2F%283x%5E-3y%5E2%29+
Cancel the 3's
= %288x%5E5y%5E8%29%2F%28x%5E-3y%5E2%29+
Multiply NUM and DEN by x^3
= %288x%5E8y%5E8%29%2Fy%5E2
Mutliply NUM and DEN by y^-2
= 8x%5E8y%5E6
=======================================
the order in which you do things doesn't matter.