SOLUTION: if x+1/y=1,y+1/z=1 then x+1/x=?
Algebra
->
Expressions-with-variables
-> SOLUTION: if x+1/y=1,y+1/z=1 then x+1/x=?
Log On
Algebra: Expressions involving variables, substitution
Section
Solvers
Solvers
Lessons
Lessons
Answers archive
Answers
Click here to see ALL problems on Expressions-with-variables
Question 1085692
:
if x+1/y=1,y+1/z=1 then x+1/x=?
Answer by
Fombitz(32388)
(
Show Source
):
You can
put this solution on YOUR website!
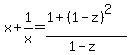
.
.
.
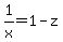
So,
and
So,