SOLUTION: I submitted an easier problem and I see maybe if I submitted this one instead it would help me solve the easier one. Help!! I need to add or subtract as indicated and express the

Algebra ->  Expressions-with-variables -> SOLUTION: I submitted an easier problem and I see maybe if I submitted this one instead it would help me solve the easier one. Help!! I need to add or subtract as indicated and express the      Log On


   



Question 107261: I submitted an easier problem and I see maybe if I submitted this one instead it would help me solve the easier one. Help!! I need to add or subtract as indicated and express the results in simplest form.
(-12)/(x^2+ x- 12) + (x^2)/(x+ 4)(x - 3) + (x)/
(x^2 + x – 12)

Answer by Annabelle1(69) About Me  (Show Source):
You can put this solution on YOUR website!
(-12)/(x^2+ x- 12) + (x^2)/(x+ 4)(x - 3) + (x)/
(x^2 + x – 12)
the x%5E2%2Bx-12 facroises to (x+4)(x-3)
our question becomes

All fractions have the same denominator so we add the numerators
we have
%28-12%2Bx%5E2%2Bx%29%2F%28%28x%2B4%29%28x-3%29%29
-12+x^2+x = x^2+x-12 which factorises to (x+4)(x-3) again
we have
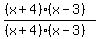
%28%28x%2B4%29%28x-3%29%29%2F%28%28x%2B4%29%28x-3%29%29
=1