SOLUTION: Multiply the following fractions. X^2 - 3x – 10/5x * 15x^2/3x- 15

Algebra ->  Expressions-with-variables -> SOLUTION: Multiply the following fractions. X^2 - 3x – 10/5x * 15x^2/3x- 15       Log On


   



Question 107083: Multiply the following fractions.
X^2 - 3x – 10/5x * 15x^2/3x- 15

Answer by Annabelle1(69) About Me  (Show Source):
You can put this solution on YOUR website!
X^2 - 3x – 10/5x * 15x^2/3x- 15
x%5E2-3x-10 factorises to (x-5)(x+2)
3x-15 factorises to 3(x-5)
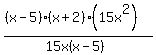
now we have
%28%28x-5%29%28x%2B2%29%29%2F5x times 15x%5E2%2F%283%28x-5%29%29
which is
%28%28x-5%29%28x%2B2%29%2815x%5E2%29%29%2F%2815x%28x-5%29%29
the 15 cancels as does the x-5, and the x from the denominator cancells with the x^2 to leave just an x on the numerator
the answer is
%28x%2B2%29x as all the denominator disappears witht he cancelling